https://doi.org/10.1016/j.cya.2017.01.003
Artículo de
investigación
Administración
del riesgo crediticio al menudeo en México: una mejora econométrica en la selección
de variables y cambios en sus características
Credit risk management at retail in Mexico: An
econometric improvement in the selection of variables and changes in their
characteristics
José Carlos Trejo García1*
Miguel Ángel Martínez García1
Francisco Venegas Martínez1
1Instituto
Politécnico Nacional, México
*Autor para correspondencia: José Carlos Trejo
García, email: jtrejog@ipn.mx
Resumen
La predicción temprana de malos deudores para créditos revolventes en México es un asunto de relevancia actual. El
modelo econométrico propuesto de comportamiento crediticio considera los
cambios en las características de los acreditados consolidados y proporciona
mejores resultados que los obtenidos con la metodología utilizada por la CNBV
en materia de provisiones. Los resultados obtenidos muestran que la posibilidad
de reemplazar el modelo vigente, minimizando la pérdida esperada y aumentando
el ROA por entidad financiera a nivel nacional en un 2.20%, cumple con los
criterios metodológicos y pruebas estadísticas de acuerdo a la Circular Única
de Bancos y lineamientos de Basilea II en materia de riesgo crediticio.
Palabras clave: Banca, Crédito, Modelos econométricos,
Metodología de estimación de datos, Técnicas de optimización.
Códigos JEL: G21, E51, C5, C80, C61.
Abstract
The early prediction of
bad debtors in revolving loans in Mexico is a relevant current issue. The
proposed econometric model of behavioral scoring considers the changes in the
characteristics of consolidated clients and produces better results than those
obtained with methodology used by the CNBV on provisions. The obtained results
show the possibility of replacing the current model, minimizing the expected
loss and increasing the ROA of Mexican financial institutions in 2.20%
complying the methodology and statistical testing criteria according to the
Unique Banking Dispositions and the guidelines of Basel II on credit risk.
Keywords: Banks, Credit, Econometric modeling, Data estimation
methodology, Optimization techniques
JEL classification: G21, E51, C5,
C80, C61.
Recibido en 09/12/2014
Aceptado en 10/08/2015
Introducción
La administración del riesgo crediticio durante las últimas
décadas ha sido una de las áreas con mayor crecimiento. Las técnicas de calificación
más utilizadas para la administración del riesgo crediticio han sido el credit scoring
(otorgamiento de crédito) y el behavioral scoring
(comportamiento crediticio), así como varias herramientas para la estimación
del riesgo financiero con relación a los préstamos o financiamientos al
menudeo. En el mercado mexicano crediticio al consumo se tiene la siguiente
clasificación en tres tipos de pools
(carteras): créditos revolventes, créditos personales
y créditos a la vivienda1.
Todos los solicitantes de crédito, así como los clientes
consolidados de instituciones financieras en México, cuentan con una
calificación tanto en la solicitud del crédito como en el comportamiento de la
vida del crédito. Existen dos objetivos importantes en las técnicas para la
calificación crediticia. Uno de ellos es la necesidad de identificar el riesgo
de consumo, mientras que el otro es minimizar el porcentaje de clientes
incumplidos, con lo cual las instituciones bancarias o crediticias optimizan
sus carteras para un buen y mejor negocio.
Por lo anterior, se requiere desarrollar nuevos modelos con
base en la información histórica de los clientes que permitan generar modelos
de decisión en el otorgamiento y considerar el comportamiento con los clientes
consolidados ( Mays, 2004).
De acuerdo con la información, al cierre de junio 2014, por
parte de la Comisión Nacional Bancaria y de Valores (CNBV)2, uno de los principales instrumentos de crédito en México son las
tarjetas de crédito, ya que existen aproximadamente 23 millones de plásticos
autorizados por 24 entidades financieras reconocidas.
Esta investigación desarrolla una técnica de calificación crediticia considerando la regulación nacional e internacional. Además, el modelo propuesto es óptimo en el sentido de que minimiza la pérdida esperada en el sector de tarjetas de crédito, con repercusiones positivas en la determinación de reservas crediticias, generando un efecto positivo en los activos, en los resultados netos y en la rentabilidad de las entidades financieras (Banca Múltiple).
El documento se organiza de la siguiente forma: en la
segunda sección se presenta el marco teórico en términos de avances
estadísticos y econométricos en la administración del riesgo crediticio; en la
tercera sección se establecen las bases y criterios regulatorios de créditos revolventes en México; en la cuarta sección se presenta la
metodología propuesta y se proporcionan las pruebas de significación
estadística; en la quinta sección se establece el modelo de optimización; en la
sexta sección se compara la rentabilidad entre el modelo propuesto y el de
CNBV; en la séptima sección se presentan y discuten los resultados obtenidos;
por último, se presentan las conclusiones.
Avances en la administración de riesgos crediticios
Los avances
en las tecnologías de información en la administración del riesgo crediticio
permiten que las entidades financieras crediticias automaticen las decisiones
sobre aceptación o rechazo de una solicitud de crédito y la administración de
una cartera crediticia (clientes consolidados) en un cross-sell (venta
cruzada). Hace unos años, dicha administración crediticia se realizaba solo con
la experiencia o percepción del ejecutivo. Ahora, uno de los modelos más usados
para la evaluación de créditos es el scoring model (modelo de
calificación), el cual determina un score (puntaje)
para clientes que solicitan un crédito identificando a aquellos que tienen la
posibilidad de incumplir con sus pagos. La literatura, con respecto de la
calificación crediticia, es amplia, y basta mencionar los modelos de Rosenberg y Gleit (1994), Merton (1974), Hand y Jacka (1998),
Thomas, Crook
y Edelman (1992) y Lewis (1992) , mientras que para
calificaciones de comportamiento o behavioral scoring se cuenta
con el trabajo de Mays (1998).
Modelos analíticos de scoring
Existen en
la literatura especializada un conjunto amplio de métodos y técnicas
cuantitativas para predecir la probabilidad de que un cliente falle o incumpla3
y, por consiguiente, no se recupere el crédito
otorgado por alguna institución financiera. Los modelos scoring son herramientas que utilizan la clasificación de los
solicitantes o clientes consolidados por nivel de riesgo con base en el
suministro de la información de clientes en las solicitudes de crédito y comportamiento
de pagos. El modelo proporciona la suma de puntos para cada componente
cuantificable, produciendo una puntuación de rango ordenado o escala de
puntuación.
La
identificación de clientes potenciales que pueden generar pérdidas a la entidad
financiera requiere buscar mejores lineamientos para su tratamiento y reservar
un capital mínimo en caso de incumplimiento y/o migración de buckets (impagos)
tolerables a buckets
catalogados como vencidos. Véanse al respecto las investigaciones de Hsia (1978), Reichert, Cho y Wagner (1993) ,
Joanes (1993) y Hand y Henley (1997)
, que detallan el estudio de relaciones particulares entre las distribuciones
de clientes buenos y malos.
La historia
de los modelos de scoring se remonta
a Fisher (1936) , con
la idea de discriminar diferentes grupos dentro de una población específica.
Esta idea fue desarrollada más ampliamente por Durand (1941) aplicando contexto financiero
para discriminar entre un «buen» y un «mal» pagador. De igual manera, Thomas, Edelman
y Crook (2002) analizan las ventajas y
limitaciones de la creación de proveedores de modelos scorging (vendors «Bill Fair y Earl Isaac»4), los cuales a finales de los cincuenta empezaron con el
desarrollo de un sistema de análisis de riesgo de créditos. En los años
sesenta, con la creación de las tarjetas de crédito, los modelos de scoring mostraron su importancia y utilidad. Según Myers y Forgy (1963)
, este tipo de modelos es superior como predictor que cualquier juicio experto
cualitativo. Otro aspecto importante en este contexto fue el del Z-Score
propuesto por Altman (1968) , que ha sido aplicado en el sector
financiero.
Optimización
en entidades financieras
En términos
prácticos, los modelos de scoring permiten
una reducción significativa en los tiempos de ejecución de los distintos
procesos financieros para el otorgamiento y seguimiento de un crédito,
permitiendo con ello una mayor automatización y reduciendo la necesidad de la
intervención humana en la evaluación y estimación del riesgo crediticio. Los
principales usuarios de este tipo de modelos son los bancos y las instituciones
financieras, así como las compañías de seguro o las cadenas de retail (créditos
al consumo). Entre las principales características del scoring están la
posibilidad de gestionar y administrar el riesgo. Los beneficios reportados por
la aplicación de estos modelos no solo afectan a los bancos e instituciones
financieras, sino también directamente a todos los clientes del sector financiero,
pues reduce la discriminación errónea de clientes que solicitan algún crédito y
provee un análisis más objetivo, concentrando en un solo modelo múltiples
factores que pueden afectar el riesgo de una solicitud o un seguimiento de
pagos.
Marco
regulatorio local e internacional
Aunque
algunas instituciones financieras en México desarrollan sus propios modelos de scoring con base
en los lineamientos establecidos por la CNBV5, la mayoría de entidades constituyen sus reservas con base en los
lineamientos establecidos por dicha comisión. Los vendedores o consultores en
la creación de modelos scoring los construyen
basándose en la información y en los parámetros específicos proporcionados por
las áreas de administración de riesgo crediticio de la entidad financiera. Por
lo tanto, la entidad financiera debe asegurarse de que el desarrollo de dichos
modelos sea acorde a los objetivos del banco y con respecto de su tolerancia al
riesgo.
El acuerdo
internacional sobre regulación y supervisión bancaria denominado «Nuevo Acuerdo
de Capital»6 exige a las
entidades financieras de los países miembros una revisión de sus dotaciones de
capital para cubrir los riesgos. Estos parámetros les obligan a disponer de
herramientas que les permitan establecer modelos de medición (
scorings
y ratings ) con el propósito de discriminar entre clientes según su perfil
de riesgo y evaluar la exposición y la severidad en el riesgo de crédito. El
acuerdo de Basilea II también obliga a las entidades financieras no solo a
adaptar sus sistemas de cálculo del consumo de capital, sino también a
modificar los sistemas de reporting (informes
financieros) y de análisis de la información. Ambos elementos —es decir, los
informes financieros y el análisis de los mismos— son aspectos clave en Basilea
II necesarios para gestionar grandes bases de datos, capaces de ofrecer la
información para cuantificar los riesgos de cada operación, lo que supone un
verdadero reto para los bancos.
El elemento
clave para analizar el proceso de calificación de riesgos mediante modelos
internos (IRB)7, según la
normativa de Basilea II, es que las entidades financieras crediticias dispongan de un
modelo de credit scoring que les permita medir la probabilidad de incumplimiento del
crédito que se otorga. Para tal efecto, el método estándar o regulatorio de la
CNBV permite la validación con datos actuales y el método IRB de behavioral scoring para el caso mexicano a través de una muestra de información
nacional.
Administración del riesgo crediticio al menudeo en México
De manera
general, el crédito es un compromiso pactado entre una persona física o moral y
una entidad financiera a fin de otorgarle capacidad de compra por adelantado al
deudor. El crédito permite realizar compras por anticipado con base en su
capacidad de pago. En México, la CNBV menciona que toda actividad crediticia
significa la colocación de los recursos tanto propios como captados de terceros
(ahorradores) mediante operaciones de préstamo, descuento, asunción, garantías
o créditos en su más amplio sentido, así como cualquier operación bancaria que
genere o permita un derecho de crédito a favor de las instituciones financieras
con un grado de incumplimiento8.
La cartera
de crédito al consumo se conforma de todos aquellos créditos directos,
incluyendo los de liquidez que no cuenten con garantía de inmuebles,
denominados en moneda nacional, extranjera, en UDIs o
en VSM, así como los intereses que generen, otorgados a personas físicas,
derivados de operaciones de tarjeta de crédito, de créditos personales, de créditos
para la Adquisición de Bienes de Consumo Duradero (conocidos como ABCD), que
considera entre otros al crédito automotriz y las operaciones de arrendamiento
financiero que sean celebradas con personas físicas9.
Con base en
diversas investigaciones de Banxico, el riesgo de crédito es el caso particular
cuando el contrato no puede ser cumplido por el deudor hacia el acreedor
(otorgante del crédito). Recientemente, además del caso de incumplimiento, se
han incorporado eventos que afectan el valor de un crédito, sin que
necesariamente signifique incumplimiento del deudor. Normalmente, los factores
que se deben tomar en cuenta al medir riesgo de crédito son las probabilidades
de incumplimiento y/o de migración en la calidad crediticia del deudor, las
correlaciones entre incumplimientos, la concentración o segmentación de la
cartera, la exposición a cada deudor y la tasa de recuperación en caso de
incumplimiento de los deudores10.
Para la determinación
de provisiones en México de la cartera crediticia al consumo y administradas
por cada entidad financiera se tiene como base la regulación impuesta por la
CNBV mediante la Circular Única de Bancos (CUB) 11, con factores como la Severidad de la Pérdida (SP o Loss Given Default ), que es lo que pierde el acreedor en caso de incumplimiento del
deudor una vez tomados en cuenta todos los costos implicados en la recuperación
(costos de recobro, costos judiciales, etc.). Con respecto a la Exposición al
Incumplimiento (EI o Exposure at Default), es el saldo que debe el deudor en un momento dado en caso de
incumplimiento. La medida de riesgo crediticio en esta investigación es la
Probabilidad de Incumplimiento (PI o Probability of Default), que expresa qué tan probable es que un acreditado deje de
cumplir con sus obligaciones contractuales. El mínimo valor es cero, lo cual
indicaría que es imposible que incumpla con sus obligaciones, y su máximo valor
es uno o cien por ciento, cuando es seguro que incumpla.
Con base en
la regulación vigente, la estimación de la PI debe ser por crédito. Las
Reservas o Pérdidas Esperadas (R o PE) es la media de la distribución de
pérdidas y ganancias. Es decir, indica cuánto se puede perder en promedio y
normalmente está asociada a la política de reservas preventivas que la
institución debe tener contra riesgos crediticios. Para ello, se calcula la PE
considerando el porcentaje de reservas (PI*SP) por la EI12.
Metodología propuesta y optimización matemática
La
metodología que utiliza esta investigación para la construcción de un modelo
óptimo de behavioral scoring para el
producto de créditos revolventes administrados por
las entidades financieras mexicanas se basa en los lineamientos regulatorios
locales de la CUB, la cual estipula en el artículo 92 Fracción III las
distintas etapas para administrar el riesgo crediticio del portafolio de
créditos revolventes en México.
De acuerdo
con la regulación local mencionada, es necesario detallar cada etapa para el
desarrollo de la propuesta.
Etapa 1. Datos y criterio en la determinación del objetivo
Primero se
obtuvo una muestra de clientes clasificados a priori como «buenos» y «malos»
(de acuerdo con Huang, Chen y Wang, 2007
). De esta manera, se consideró una muestra de 43,32313 cuentas con los criterios regulatorios y el evento de
incumplimiento bajo el criterio de que un cliente no realice dos o más pagos
consecutivos14 en los próximos 12 meses, objetivo
esencial de la presente investigación.
Etapa 2. Compilación y proceso de información
La
construcción del modelo alternativo de behavioral scoring (Weber, 1999 ) se realiza
a través de la discriminación y la regresión logística, la cual se emplea para validación
con mejores niveles de significación.
Para ello,
se trabajará con variables cuantitativas independientes y la variable
dicotómica dependiente, bajo la condición:

La técnica
estadística más utilizada por la industria financiera corresponde a la
regresión logística ( Thomas, Edelman y Crook, 2004 ).
Esta técnica es menos restrictiva, siendo una alternativa del análisis
discriminante. Es importante mencionar que en los últimos años han aparecido
una serie de técnicas nuevas llamadas «minería de datos» ( Weber, 1999 ), las cuales han sido utilizadas
también para la construcción de modelos de scoring . Estas
técnicas presentan la ventaja de no tener demasiados requerimientos y supuestos
para las variables de entrada, aumentando su validez. Esta técnica ha sido
intensamente utilizada para la construcción de modelos de scoring para la
comprensión de patrones complejos de un determinado segmento de clientes,
teniendo la capacidad de modelar relaciones no lineales entre las variables.
Etapa 3. Estimación probabilística
Los modelos
probabilísticos lineales plantean una serie de problemas que han llevado a la
búsqueda de otros modelos alternativos que permitan estimaciones más confiables
cuando se tienen variables dicotómicas. Para evitar que la variable endógena
estimada pueda encontrarse fuera del rango (0, 1), las alternativas disponibles
son utilizar modelos de probabilidad no lineales, donde la función de
especificación utilizada garantiza un resultado en la estimación comprendido en
el rango (0, 1).
Dado que el
uso de una función de distribución garantiza que el resultado de la estimación
esté acotado entre 0 y 1, en principio las posibles alternativas son varias,
siendo las más habituales la función de distribución logística, que ha dado
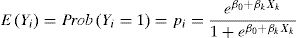
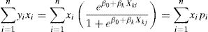
lugar al modelo logit , relacionando la variable endógena Y i con las
variables explicativas X i a través de
una función de distribución ( Y i = 1). En
cuanto a la interpretación de los parámetros estimados en un modelo logit , el signo de
los mismos indica la dirección en que se mueve la probabilidad cuando aumenta
la variable explicativa correspondiente.
A través de
la linealización del modelo y partiendo de la
ecuación general del modelo logit, se define
Y i como la
probabilidad del estado o la alternativa 1, partiendo de lo siguiente:

(1)
Esto
satisface 0 ≤ yi ≤ 1. Por lo tanto:
![]()
(2)
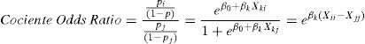
Al cociente
entre la probabilidad de que ocurra un hecho, o de que se elija la opción 1,
frente a la probabilidad de que no suceda el evento en cuestión, o de que se
elija la opción 0, se le denomina odds ratio . Su
interpretación es la «ventaja» o preferencia de la opción 1 frente al 0, es
decir, el número de veces que es más probable que ocurra el incumplimiento
frente al que no ocurra.
![]()
(5)
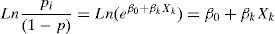
Tomando
logaritmos naturales del odds ratio se linealiza la ecuación del modelo logit , respetando
el objetivo de que los valores estimados se encuentren dentro del rango (0, 1),
obteniéndose la expresión:

(6)
La nueva
variable Lnpi(1−pi) generada representa en una escala
logarítmica la diferencia entre las probabilidades de que ocurra incumplimiento
en créditos revolventes ( Lee, Cheung y Chen, 2005).
El odds ratio tal y como
está construido (cociente entre probabilidades) siempre será mayor o igual que
0. El campo de variación del ratio va desde 0 hasta +∞, y su interpretación se
realiza en función de que el valor sea igual, menor o superior a la unidad: si
el antilogaritmo toma el valor 1 significa que la probabilidad de
incumplimiento es la misma de que no ocurra; si el ratio es menor que 1 indica
que la ocurrencia de la probabilidad de incumplimiento tiene menor posibilidad
que la ocurrencia del cumplimiento del cliente, mientras que si es mayor que 1,
entonces la probabilidad de incumplimiento del clientes es mayor que el
cumplimiento.

(7)
Etapa
4. Estimación con máxima verosimilitud
Para la
estimación del modelo logit en la
búsqueda de obtener los parámetros predictores, se utiliza el método de máxima
verosimilitud (MV). Como p i toma dos
valores —con probabilidad de incumplimiento p i y su
contraparte 1− p i —, tiene
una distribución de estilo Bernoulli.
![]()
(8)
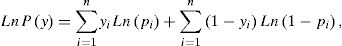
La función
de MV para una muestra aleatoria de n datos ( x i ,y i ) se
calcula como:

(9)

(10)
la función
logarítmica de verosimilitud satisface:

(11)
Ahora la
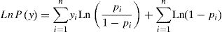
ecuación anterior se sustituye en la ecuación de la función logarítmica de verosimilitud.
De aquí se obtiene la función de verosimilitud en logaritmos en términos de los
parámetros β dada por:

(13)
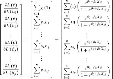
Para la
obtención de los estimadores β de máxima verosimilitud, se deriva L(β) respecto
de cada uno de los parámetros β j con j = 1, 2,...,
p y se iguala a cero. En términos de matrices:

(14)
Si se
expresa cada una de estas derivadas en un vector columna:

Si ahora se
iguala a cero el vector columna:

La β estimada
es el vector de parámetros que cumple el sistema matricial, se calcula p i en términos
de esos estimadores y con ello se obtiene una estimación para y i , tal que la
estimación de probabilidad sea:

(15)
Linealizando la
ecuación 14, permite modelar la PI mediante una regresión logística múltiple:

(16)
Resultados empíricos
Para
validar la metodología propuesta se han seleccionado variables relevantes en la
determinación de la probabilidad de incumplimiento propuesto.
Determinación y selección de variables
Para evitar
problemas de multicolinealidad es de gran ayuda que
las variables seleccionadas cuenten con pruebas de correlación. Para ello se
selecciona el conjunto de variables explicativas y significativas, evitando
entonces el incluir variables poco significativas o con información redundante
(colinealidad), lo que puede distorsionar la
capacidad predictiva de la función discriminante estimada.
Para medir
la correlación, se considera el siguiente cálculo:

(17)
Con una
base de datos de 43,323 clientes consolidados y administrados por las
instituciones financieras mexicanas al cierre de agosto 2014, se consideraron
las 6 variables acorde a la metodología regulatoria de la CNBV15: variable de cumplimiento/incumplimiento (Y), número de impagos
(ACT), historial de impagos (HIST), meses transcurridos de crédito (ANT),
relación pago-saldo (%PAGO) y relación saldo a pagar − límite de crédito
(%USO).
Para el
modelo propuesto, y en relación con la base de datos de los mismos 43,323 clientes,
se identificaron solo 5 variables significativas: variable de cumplimiento (Y),
meses transcurridos de crédito (ANT), límite de crédito (límite_crédito),
historial de impagos (HIST) y relación pago-saldo (%PAGO).
La variable
Y para ambos modelos de estudio (vigente y propuesto) fue recodificada a partir
de los criterios mencionados en la metodología: variable binaria que adopta el
valor 1 (incumple) y el valor 0 (cumple) (tabla 1).
Como se
observa, los problemas de multicolinealidad son
notorios al momento de utilizar todas las variables con base en la metodología
vigente de la CNBV, principalmente HIST y ANT, con una correlación superior al
60%. Además, se observa la falta de impacto con Y por parte de %USO, lo que puede
provocar menor predicción con el modelo actualmente utilizado por la regulación
mexicana.
La ausencia
de multicolinealidad, así como el alto impacto de las
variables independientes (ANT, límite_crédito, HIST y
%PAGO) sobre la variable Y, sí influyen significativamente, y esto puede
reflejar mayor predictibilidad para medir el nivel de incumplimiento.
De esta
manera, las variables propuestas en esta investigación muestran ausencia de multicolinealidad, ya que los niveles de correlación entre
variables independientes endógenas son menores al 47%, mientras que la relación
de ANT, límite_crédito e HIST con la variable
dependiente (Y) es superior al 56%. El impacto de %PAGO con Y es mayor al 92%.
Esta prueba de correlación indica que el modelo propuesto podría ser predictivo
y más estable.
Regresión y significatividad logística
De acuerdo
con las técnicas de inferencia en regresión logística ( Joanes, 1993 ), un buen modelo debe satisfacer dos
condiciones: la primera es que tenga una fuerte capacidad predictora
y la segunda es que la estimación de los parámetros tenga una alta precisión.
Una condición adicional es que el modelo sea lo más sencillo posible, esto es,
que contenga el mínimo de variables explicativas y que satisfaga las dos
condiciones anteriores. Empleando la muestra de 43,323 clientes y las variables
propuestas en la tabla 2,
se estima un modelo logit explicado
en la metodología, calculando a su vez la probabilidad de que un cliente pague
su préstamo de créditos revolventes.
En la
estimación de la probabilidad logit fueron
necesarias 9 iteraciones para estimar el modelo. La función de LR chi 2 indica que los
coeficientes son conjuntamente significativos para explicar la probabilidad de
que los 43,323 clientes se encuentren en incumplimiento; así, el valor
estadístico de Prob > chi 2 indica que
se puede rechazar en un 1% la hipótesis de que todos los coeficientes sean
igual a cero. Además, el estadístico de Pseudo R 2 indica que
aproximadamente el 97% de la variación de la variable dependiente es explicado
por la variación de las variables independientes del modelo propuesto para
México.
La calidad
de ajuste del modelo es de 99.38%16, resultado de la razón de provisiones correctas contra número de
observaciones; esto confirma en general que el modelo predice las observaciones
correctamente.
Tabla 3: Estimación
de la regresión logit del modelo
propuesto (PIC)

Observaciones = 13,000; LR chi2(4) = 53,200; Prob
> chi2 = 0.0000; Pseudo R2 o McFadden test = 0.9626; Log likelihood = −722.0952.
Fuente: elaboración propia con la paquetería Stata
13 y con base en la muestra de 43,323 clientes.
Significación de la regresión logística propuesta
Es
necesario destacar que al momento de realizar de nuevo la regresión logística
para aquellas variables que actualmente la regulación contempla se obtuvo un
error en la obtención de resultados, debido a la alta multicolinealidad
de la variable ACT con HIST. Por lo tanto, dichas variables explicativas y
utilizadas actualmente por la CNBV no son necesarias del todo para continuar
con el modelo; de esta manera la variable ACT debe ser excluida.
Al utilizar
criterios estadísticos como el de correlaciones parciales es posible obtener
todas las variables potenciales y escoger entre ellas las mejores. Al respecto,
para determinar si una variable debe ser incluida en un modelo por un peso
significativo, se aplica la prueba de estadístico de Wald . La prueba
resulta de contrastar la hipótesis nula H 0 : β i = 0 contra la
alternativa H 1 : β i ≠ 0.
La
estimación mostrada en la tabla
3 permite calcular la función score a partir
de la ecuación (4). Los niveles de significación para el modelo propuesto
indican que todos los valores de significación p-values cuentan
con alta significación, puesto que son menores al 5%. Para obtener el score con
las variables propuestas se aplica la transformación logit de la
ecuación (16) para obtener la probabilidad de incumplimiento calculada (PI C).
La
interpretación de los coeficientes es mediante la medición de la variación del
modelo logit estimado
para una variación unitaria de la variable explicativa dada. Así, si ANT
aumenta en un impago, el logit estimado
aumenta en 0.01 unidades, lo que sugiere una relación positiva con respecto a
la PI C . El mismo
caso es para el límite_crédito e HIST: a mayor límite
como a mayor aumento de impagos históricos, la PI C aumenta.
En caso contrario, si %PAGO es mayor, entonces la PI C disminuye
en 7.6 unidades. De acuerdo con lo anterior, el modelo econométrico planteado
mediante la estimación logit permite
mejorar la administración del riesgo de créditos revolventes.
Las
oportunidades en los modelos logit son
calculadas mediante regresión logística u odds , es
decir, mediante la transformación antilogarítmica de β ≫ e β (tabla 4).
Estos resultados
demuestran cumplimiento a la teoría planteada, ya que si odd < 1 significa
que la ocurrencia de la PIC tiende a
ser una relación negativa (menor oportunidad), mientras que si odd > 1 significa
que la ocurrencia de la PIC tiende a
ser una relación positiva (mayor oportunidad).
Por lo
tanto, las variables ANT, límite_crédito e HIST
indican que si aumentan los impagos y el límite de crédito, entonces la PI
aumenta de manera conjunta y aproximada por 17 veces, caso contrario a %PAGO,
puesto que el coeficiente es menor que la unidad.
Distribución logit
La
distribución logit obtenida
con la metodología vigente de la CNBV17 es como se muestra en la figura 1.
La figura 1 indica que no
existe una distribución óptima, puesto que hay observaciones negativas fuera
del comportamiento normal respecto a las demás observaciones.
La PI
promedio de la metodología de la CNBV es del 43.4%; por lo tanto, es necesario
validar mediante el modelo propuesto (PI C ) en esta
investigación si existe una distribución logit óptima y
con apego al comportamiento teórico.
La figura 2 indica que sí
existe una distribución óptima, puesto que no hay observaciones fuera del
comportamiento normal respecto a la mayoría observaciones. El promedio de la PI
C es del 42.6%, es decir, menor que la PI de la regulación vigente
(43.4%).
Análisis de distribución del porcentaje de reservas en México
Mediante
pruebas de discriminación poblacional, el análisis discriminante consiste en
una técnica multivariante que permite estudiar
simultáneamente el comportamiento de un grupo de variables independientes con
la intención de clasificar una serie de casos en grupos previamente definidos y
excluyentes entre sí ( Fisher,
1936).
Una vez
calculadas las PI y PIC
mencionadas, estas son utilizadas para llevarlas en producto con la SP18, obteniendo así el porcentaje de reserva. Al validar mediante la
metodología actual (PI*SP) contra el modelo propuesto (PI C *SP), en los comportamientos mostrados del porcentaje de reservas
y grados de riesgo señalados en la metodología de la CNBV19 se identifica
que el modelo propuesto cuenta con mejor discriminación de clientes buenos y
malos en cada grado de riesgo ( fig.
3).
Figura 3: Grado de
discriminación de clientes malos por grado de riesgo según el modelo vigente
versus el modelo propuesto.
Fuente: elaboración propia con la paquetería Stata
13, de acuerdo con la distribución del porcentaje de reservas entre los grados
de riesgos ( CNBV, 2014).
En
consecuencia, se muestra que con el modelo propuesto la detección de clientes
malos es mayor que el modelo vigente utilizado por la CNBV, lo que garantiza
una mejor y mayor discriminación de clientes malos o incumplidos, tal y como se
muestra notablemente del grado de riesgo A-2 al C-2, mientras que los grupos de
riesgo A-1, D y E mantienen su tendencia discriminatoria entre ambos modelos.
Prueba de Kolmogorov-Smirnov
Una vez que
se ha calculado el score con la fórmula estimada por medio de la regresión logit , se
pretende determinar si estos valores calculados en la muestra identifican bien a
qué grupo pertenecen. Mientras mayor sea la diferencia de los puntajes de los
grupos, mayor será la capacidad discriminante del modelo usado. El indicador de
Kolmogorov-Smirnov (K-S) es una prueba no paramétrica
para la bondad de ajuste para probar que dos muestras independientes provienen
de la misma distribución de una variable aleatoria continua. Estas diferencias
están determinadas no solo por las medias, sino también por la dispersión,
simetría o la oblicuidad. La prueba se construye sobre las hipótesis nula y
alternativa como sigue:
H0: La
distribución del score para las
cuentas buenas y las cuentas malas es igual.
H1: La
distribución del score para las cuentas buenas y las cuentas malas no es igual.

(18)
Con dos
colas el estadístico dado:
![]()
(19)
donde supx es la distancia superior del
conjunto.
De esta
manera se puede comparar el índice discriminatorio de K-S entre el grado de
separación de clientes buenos y malos con el modelo vigente versus el modelo
propuesto.
En la tabla 5 se observa que
con el modelo propuesto el poder de discriminación entre grados de riesgos por
porcentaje de reservas (PI C *SP) es
mayor en C-1, lo que permite a la banca de consumo en México la posibilidad de
detectar mejor a los clientes buenos y malos, así como aplicar políticas de
cobranza más efectivas para poder mejorar ese segmento.
Incluso
permite al área de riesgos al menudeo de las instituciones financieras el poder
proponer un óptimo nivel de cross-selling (venta
cruzada) con clientes que se encuentren en grados de riesgos superiores
(mejores) a C-1, lo que representa mayor posibilidad de negocio en pro de la
rentabilidad en el negocio de créditos al menudeo.
Elección del cut-off o punto de corte
En relación
con el nivel de discriminación presentado en la sección anterior,
principalmente en la tabla 5
, es posible identificar los grados de riesgo que la banca pudo aceptar en
administrar la cartera, esto con base en el nivel de probabilidad de
incumplimiento dada la máxima separación de distribución de clientes buenos y
malos.
|
Clase
|
Separación |
Separación |
|
A-1
|
51.03%
|
53.11%
|
|
A-2
|
52.25%
|
54.24%
|
|
B-1
|
53.23%
|
55.10%
|
|
B-2
|
54.11%
|
55.15%
|
|
B-3
|
55.01%
|
55.99%
|
|
C-1
|
55.91%
|
56.33%
|
|
C-2
|
56.01%
|
56.59%
|
|
D
|
35.12%
|
27.00%
|
|
E
|
0.00%
|
0.00%
|
Fuente: elaboración propia de acuerdo con la metodología de Kolmogorov-Smirnov.
El modelo
basado en la regresión logística está constituido por un conjunto de pesos
relacionados a un grupo de variables o atributos, caracterizando a un conjunto
de clientes, y con ello permitiendo la determinación un punto de corte o cut-off (umbral).
Con
respecto del cut-off , este
determina la frontera entre ser un «mal» o «buen» cliente. En general, en la
industria bancaria se tiene que el costo de aceptar un cliente malo es varias
veces mayor que el de rechazar a un cliente bueno ( Costa, Boj y Fortiana, 2012).
Con
respecto al conjunto de pesos, es posible caracterizar los patrones que
describen ambas poblaciones (clientes buenos y malos) y determinar cuál o
cuáles de las variables de entrada utilizadas son realmente importantes en
términos de una buena predicción por segmentos para la administración de la
cartera de créditos revolventes.
De acuerdo
a lo anterior, el criterio para la elección del punto de corte, en el modelo
logístico propuesto, es basado en distancias. En la aplicación de la técnica de
behavior scoring , el
criterio de calidad de ajuste se realizó mediante la técnica de discriminación
de K-S, considerando que la mayor distancia en separación entre las
distribuciones de clientes buenos y malos indica el umbral, tal y como se
referencia en la ecuación (19).
Como se
observa en la tabla 6
, el modelo propuesto muestra un índice de separación del 56.68% en el segmento
o grado de riesgo C-1, mayor que el determinado con la regulación vigente de la
CNBV en el grado de riesgo C-2 por 56.38%.
Con la maximización
del coeficiente K-S se determinó un punto de corte de nivel de riesgo C-1 para
el modelo propuesto, con una probabilidad de incumplimiento para clientes
buenos por 12.92%. Dicha probabilidad es mayor que la obtenida con el modelo
vigente de la CNBV por 12.05% en el mismo nivel de riesgo.
De acuerdo
con la tabla 6 , se
muestra que es más costoso seguir administrando la cartera con nivel de riesgo
C-2 con el modelo vigente, que la administrada con el modelo propuesto con un
nivel de riesgo C-1. De esta manera, la PI C calculada
con el modelo propuesto implica mayor coherencia y en cierta manera mejor
comportamiento, ya que en niveles de riesgo de A-1 a B-2 (niveles con menor
riesgo) se refleja un menor PI C en el modelo
propuesto, mientras que en los niveles de riesgo de B-3 a D (niveles con mayor
riesgo) el modelo propuesto tiende a considerar coherentemente una mayor PI C . En el caso del nivel de riesgo E, en el modelo propuesto no fue
posible considerar a ningún crédito, ya que es el peor nivel de riesgo.
Por lo
tanto, el umbral óptimo en que la banca de consumo en México puede permitir un
máximo apetito de riesgo con la administración de tarjetas de crédito es en el
punto de corte C-1 con el modelo propuesto. Esto permite analizar cuánto
estaría dispuesta la banca en México en aceptar ganar con un nivel de activos
(ROA), bajo el costo de permitir contar con clientes que se encuentren en el
grado de riesgo C-1 o inferior (peor) con el modelo propuesto.
Activos crediticios y rentabilidad de la banca al menudeo en
México
En México,
las reservas preventivas de crédito al consumo son determinadas considerando el
saldo insoluto registrado en el último día del mes y la calificación obtenida. De
acuerdo a la información al cierre de junio 2014 por parte de la Comisión
Nacional Bancaria y de Valores (CNBV)20, uno de los principales instrumentos de crédito en México son las
tarjetas de crédito, puesto que existen aproximadamente 23 millones de plásticos
autorizados por 24 entidades financieras reconocidas, las cuales han tenido un
crecimiento mínimo anual de tan solo el 0.14% en promedio.
Es notable
mencionar que aproximadamente el 54% de tarjetas emitidas están siendo
administradas por las entidades financieras de BBVA Bancomer y Banamex,
mientras que las entidades de BanCoppel, Santander
Consumo, Banorte-IXE y HSBC abarcan el 35% aproximadamente. La cartera vencida
en dichos créditos revolventes equivale, al cierre de
junio 2014, por un monto de MXN $90,593 millones de pesos mexicanos (MM), es
decir, aproximadamente un 34% del total del monto autorizado por las entidades
financieras autorizadas por la CNBV, por lo que, en este sentido, es un claro
ejemplo del problema que es para las instituciones financieras crediticias en
México aprobar un préstamo a personas que no garantizan un pago y con ello no
reflejen incumplimiento en los pagos periódicos.
Dando
seguimiento a la regulación mexicana vigente para el cálculo de reservas de
tarjetas de crédito (para hacer frente a los incumplimientos posibles), las
mismas estadísticas de la CNBV reflejan que al cierre de junio 2014 las
reservas sumaron a nivel nacional MXN $33,422 MM, que de igual manera, en la
concentración de tarjetas de crédito por Bancomer y Banamex, suman
aproximadamente el 51% de reservas. Santander Consumo, Tarjetas Banorte-IXE,
HSBC y Scotiabank suman en conjunto el 42%
aproximadamente.
Dichas
provisiones han estado en crecimiento anual durante los últimos 12 meses por
12% aproximadamente, ya que el consumo en aumento se ha reflejado por mayor
probabilidad de incumplimiento, un aumento en la severidad de la pérdida y un
crecimiento en la exposición monetaria al incumplimiento, situación que afecta
a los rendimientos netos de flujo bancario y a los activos financieros de todas
las entidades, reflejando un rendimiento sobre activos (ROA)21 por 2.18% a nivel nacional, siendo American Express el que
registró mayor rendimiento por 6.6% y Banco Bicentenario con el menor
rendimiento por 82.6% negativo.

Fuente: elaboración propia de acuerdo con el cálculo del
Porcentaje de Reservas e Información Nacional con datos al cierre de junio 2014
( CNBV, 2014).
Resultado en provisiones crediticias y rendimiento
Para el
tratamiento de las estimaciones para riesgos crediticios revolventes,
la CNBV clasifica contablemente a las reservas en el Balance General bajo el
concepto Activo y en subcuentas de Estimaciones Preventivas para Riesgo
Crediticio, con clasificación de Créditos al Consumo (tarjeta de crédito).
Si se
obtienen las reservas mediante el producto de PI*SP*EI y con base en la
regulación vigente, además de los resultados obtenidos con la información de
los 43,323 clientes de la muestra, se muestra un comparativo en la tabla 7.
Como se
muestra en el tabla 7
, bajo las propuestas realizadas y con el cálculo de reservas de la muestra de
43,323 clientes por MXN $255 MM, versus la metodología vigente que sumó MXN $266
MM, se podría obtener un ahorro al cierre de junio 2014 por MXN $11 MM (4.18%).
Si esta tendencia se siguiera a nivel banca de consumo en México, el ahorro
podría ser de $1,395 MM. Lo anterior implica analizar el efecto Rendimiento
sobre Activos que implicó con la metodología vigente, por lo que el ROA
registró un 2.18% ( tabla 8).
Al
considerar los ahorros de la banca de consumo que implica el utilizar el modelo
propuesto (PI C ), el
Resultado Neto reportado por la CNBV al cierre de junio 2014 por MXN $151,291
MM aumentaría MXN $1,395 MM, es decir, MXN $152,687 MM.
De igual
manera, los Activos del Balance a nivel nacional aumentarían, por lo tanto el
ROA pasaría del 2.18% al 2.20%, lo cual representa mayor rentabilidad a la
banca de consumo en México al considerar un modelo actualizado PI C (tabla 9).

Fuente: elaboración propia con base en el cálculo del Porcentaje
de Reservas e Información Nacional con datos al cierre de junio 2014 ( CNBV, 2014).

Fuente: elaboración propia de acuerdo con el cálculo del Porcentaje
de Reservas e Información Nacional, con datos al cierre de junio 2014 ( CNBV, 2014).
Conclusiones
Aunque el
riesgo mercado es la pérdida potencial más significativo en las instituciones
financieras, el riesgo crediticio no deja de ser importante para su
administración en cualquier entidad financiera, sobre todo cuando el negocio de
créditos al menudeo es el que aporta más de la mitad de los ingresos a la
banca.
De acuerdo con
lo anterior, el enfoque de análisis en esta investigación fue el riesgo
crediticio al menudeo, especialmente el asociado con los créditos revolventes y comúnmente llamados tarjetas de crédito. Se
revisaron las condiciones legales con las disposiciones de la CNBV y Basilea II
con la finalidad de proponer un nuevo modelo de clasificación behavioral scoring empleando
el análisis discriminante lineal con una base de datos compuesta por variables
mixtas continuas y una dicótoma (clientes buenos o malos).
Para
determinar qué variables tienen que ser excluidas se realizaron diversas
pruebas de hipótesis de selección de variables; tal es el caso de la validación
de no multicolinealidad. Considerando la metodología
de la CNBV en materia de segmentación de grados de riesgo y los resultados
obtenidos, se demostró que con el modelo propuesto el «costo» de administrar
créditos en niveles de riesgo de B-3 a D es mayor que el costo de mantener
clientes en niveles de riesgo de A-1 a B-1.
Aunado a lo
anterior, el punto de corte óptimo para la administración de la cartera en el
modelo propuesto es el nivel de riesgo C-1, en el cual se identifica antes de
la máxima separación de clientes buenos y malos (K-S = 56.68%) con
un aumento drástico en la PI C del
12.92%. Ambos resultados son mayores y mejores indicadores que el modelo
vigente.
De igual
manera se puede confirmar con esta investigación que el modelo propuesto
satisface dos condiciones: la primera es que tiene una fuerte capacidad predictora (99.38%) y la segunda es que la estimación de
los parámetros cuenta con alta relación de variabilidad de variables
dependientes respecto a la variable independiente en un 97%. Sin embargo, esto
abre las puertas a futuras investigaciones para la mejora continua de la
predicción y con ello la mejora en rentabilidad para la banca de menudeo en
México.
La
validación del grado de rentabilidad para la banca de consumo en México
mediante el indicador conocido por rentabilidad sobre activos (ROA) mostró
resultados sumamente importantes. En primera instancia, el ahorro obtenido con
el modelo propuesto de probabilidad de incumplimiento (PI C ) para la
muestra analizada fue aproximadamente por MXN $11 MM (4.8% respecto a la
metodología vigente de la CNBV). Si esta tendencia es constante, a nivel
nacional la banca hubiese tenido un ahorro aproximado de MXN $1,395 MM. En
segunda instancia, se pudo validar también que el ahorro aumentaría el registro
contable de Activos a MXN $55,268 MM (versus MXN $55,257 MM con modelo CNBV) y
el aumento del Resultado Neto a MXN $1,215 MM (versus MXN $1,204 MM con modelo
CNBV) al cierre de junio 2014; ayudados ambos casos por la disminución de
pérdidas esperadas. Con esto, el ROA pasaría del 2.18% obtenido con el modelo
PI de la CNBV, a un posible ROA por 2.20% con el modelo propuesto PI C.
La creación
de reservas y el castigo de créditos son operaciones significativas que
impactan sensiblemente en el nivel de capitalización; incluso las provisiones
crediticias son el segundo gasto más importante después de sueldos y salarios,
por lo que deben reportarse de inmediato desde el área de Finanzas o Riesgos en
el momento que se originen. De esta manera, el Director (CEO) y los órganos
facultados (Comité de Riesgos y Consejo de Administración) de la institución
financiera tienen conocimiento del efecto financiero y con ello toman
decisiones importantes respecto a los límites de crédito y al apetito de riesgo
que la institución crediticia se permitirá tolerar con respecto de sus niveles
de rentabilidad.
Ante la
escasa investigación relacionada a modelos de behavioral scoring para medir
el comportamiento del riesgo crediticio de la banca de consumo en México, se
tiene que la propia banca y la CNBV tienen todavía un amplio margen de
discusión en esta línea, sobre todo para actualizar la metodología vigente en
la CUB en materia de provisiones al menudeo.
Referencias
Altman,
E. I. (1968). Financial ratios, discriminant analysis and the prediction of
corporate bankruptcy. Journal of Finance, 23(4), 589–609. http://dx.doi.org/10.1111/j.1540-6261.1968.tb00843.x
Black, F. y Scholes, M. (1972). The
valuation of option contracts and a test of market efficiency. Journal of
Finance, 27(2), 399–417. http://dx.doi.org/10.1111/j.1540-6261.1972.tb00969.x
CNBV (2014). Normatividad Comisión Nacional Bancaria y de
Valores, Banca Múltiple, Circular Única de Bancos. Disponible en:
http://www.cnbv.gob.mx/Paginas/NORMATIVIDAD.aspx
Costa, T., Boj, E. y Fortiana, J. (2012). Bondad de ajuste y elección del punto
de corte en regresión logística basada en distancias. Aplicación al problema de
Credit Scoring. Anales del
Instituto de Actuarios Españoles, 18, 19–40.
Durand, D. (1941). Risk Elements in
Consumer Instalment Financing, Studies in Consumer Instalment Financing. New
York, NY: National Bureau of Economic Research.
Fisher, R. A. (1936). The use of multiple
measurements in taxonomic problems. Annals of Eugenics, 7(2), 179–188.
http://dx.doi.org/10.1111/j.1469-1809.1936.tb02137.x
Hand, D. J. y Jacka,
S. D. (1998). Consumer credit and statistics. En D.
J. Hand y S. D. Jacka (Eds.), Statistics in Finance
(pp. 69–81). London: Arnold.
Hand, D. J. y Henley, W. E. (1997).
Statistical classification methods in consumer credit scoring: A review.
Journal of the Royal Statistical Society: Series A, 160(Part 3), 523–541.
http://dx.doi.org/10.1111/j.1467-985X.1997.00078.x
Hsia, D. C. (1978). Credit Scoring and the
Equal Credit Opportunity Act. The Hasting Law Journal, 30, 371–448.
Huang, C.-L., Chen, M.-C. y Wang, C.-J.
(2007). Credit scoring with a data mining approach based on support vector
machines. Expert Systems with Applications, 33(4), 847–856.
http://dx.doi.org/10.1016/j.eswa.2006.07.007
Joanes,
D. N. (1993). Reject inference applied to logistic regression for credit
scoring. IMA Journal of Mathematics Applied in Business and Industry, 5(1),
35–43. http://dx.doi.org/10.1093/imaman/5.1.35
Lee, M. K. O., Cheung, C. M. K. y Chen, Z.
(2005). Acceptance of internet-based learning medium: The role of extrinsic and
intrinsic motivation. Information & Management, 42(8), 1095–1104.
http://dx.doi.org/10.1016/j.im.2003.10.007
Lewis, E. M. (1992). An Introduction to
Credit Scoring. pp. 86. San Rafael, CA: Fair, Isaac and Co., Inc.
Mays, E. (1998). Credit Risk Modeling,
Design and Application. Chicago: Fitzroy Dearborn Publishers.
Mays, E. (2004). Credit Scoring for Risk
Managers, The Handbook for Lenders. Ohio: Thomson South Western, Mason.
Merton, R. C. (1974). On the pricing of
corporate debt: The risk structure of interest rates. Journal of Finance, 29,
449–470. http://dx.doi.org/10.1111/j.1540-6261.1974.tb03058.x
Myers, J. H. y Forgy,
E. W. (1963). The development of numerical credit evaluation systems. Journal
of the American Statistical Association, 58, 799–806.
http://dx.doi.org/10.2307/2282727
Reichert, A. K., Cho, C. y Wagner, G. M.
(1983). An examination of conceptual issues involved in developing credit
scoring models. Journal of Business Economics and Statistics, 1(2), 101–114.
http://dx.doi.org/10.2307/1391851398 J.C.
Rosenberg, E. y Gleit,
A. (1994). Quantitative methods in credit management: A survey. Operations
Research, 42, 589–613.http://dx.doi.org/10.1287/opre.42.4.589
Thomas, L. C., Crook, J. N. y Edelman, D.
B. (1992). Credit Scoring and Credit Control. Oxford: Oxford University Press.
Thomas, L. C., Edelman, D. B. y Crook, J.
N. (2002). Credit scoring and its applications. SIAM Monographs on Mathematical
Modeling and Computation. Philadelphia, PA: Siam.
Thomas, L. C., Edelman, D. B. y Crook, J.
N. (2004). Readings in Credit Scoring. Oxford: Oxford University Press.
http://dx.doi.org/10.1137/1.9780898718317
Weber, R. (1999). Applications of Fuzzy
Logic for Creditworthiness Evaluation. En R. R.
Ribeiro, H.-J. Zimmermann,
R. R. Yager, y
J. Kacprzyk (Eds.), Soft Computing in Financial
Engineering (pp. 388–401). Heidelberg: Physica-Verlag.
Notas
1Título Segundo
Disposiciones Prudenciales, Capítulo V Calificación de Cartera Crediticia;
documentado en las Disposiciones de Carácter General Aplicables a las
Instituciones de Crédito, o comúnmente conocidas como la Circular Única de
Bancos que emite la Comisión Nacional Bancaria y de Valores, publicada en el
Diario Oficial el 2 de diciembre 2005 y con última modificación el 31 de julio
2014.
2Sección
Información Estadística del Sector Supervisado Banca Múltiple, con datos al
cierre del mes de julio 2014 para Créditos al Consumo para Tarjeta de Crédito
& # 4 0 ; h t t p & # 5 8 ; & # 4 7 ;
& # 4 7 ; w w w & #
4 6 ; c n b v & # 4 6 ; g o b & # 4 6 ; m x & # 4 7 ; S E C T O R E
S - S U P E R V I S A D O S & # 4 7 ; B A N C
A-MULTIPLE/Paginas/Información-Estadística.aspx).
3Cuando la
probabilidad de incumplimiento es mencionada, es usual pensar en el modelo de Merton (1974) , el cual se basa en la fórmula de Black y Scholes
(1972) . En esta investigación se desarrollará un modelo
alternativo.
4Fair-Isaac
Company.
5Circular
Única de Bancos con última modificación al 31 de julio 2014, Anexo 15
Requisitos Mínimos para la Autorización Metodologías Internas.
6Acuerdo
internacional y conocido como Basilea II y aprobado en 2004.
7Section III Credit Risk — The Internal
Ratings-Based Approach (IRB), Overview (page 52). Basel II: International
Convergence of Capital Measurement and Capital Standards: a Revised Framework,
Comprehensive Version (BCBS) (June 2006 Revision) & # 4
0;http://www.bis.org/publ/bcbs128.htm).
8Circular
Única de Bancos, actualización 31 de julio 2014, Título Primero Disposiciones
Generales del Capítulo I Definiciones, Artículo 1, Fracción I.
9Circular
Única de Bancos, actualización 31 de julio 2014, Título Primero Disposiciones
Generales del Capítulo I Definiciones, Artículo 1, Fracción XXIX.
10Banxico
2005, Definiciones Básicas de Riesgos (http://www.banxico.org.mx/sistema-financiero/material-educativo/intermedio/riesgos/%7BA5059B92-176D-0BB6-2958-7257E2799FAD%7D.pdf).
11Circular
Única de Bancos 2014, actualización 31 de julio 2014, Título Segundo
Disposiciones Prudenciales del Capítulo I Otorgamiento de Créditos y Capítulo V
Calificación de Cartera Crediticia.
12Circular
Única de Bancos 2014, actualización 31 de julio 2014, Título Segundo
Disposiciones Prudenciales del Capítulo V Calificación de Cartera Crediticia,
Sección Primera, Apartado B.
13La
extracción de la base de datos de clientes de algunos bancos mexicanos y de
otros temas relacionados al cierre de julio 2014 se puede recurrir a la
siguiente página: http://archive.ics.uci.edu, sección de Datasets.
14Circular
Única de Bancos con última modificación al 31 de julio de 2014, Anexo 33 Serie
B Criterios relativos a los conceptos que integran los estados financieros, B-6
Cartera de Crédito.
15Circular
Única de Bancos 2014, actualización 31 de julio 2014, Título Segundo
Disposiciones Prudenciales del Capítulo I Otorgamiento de Créditos y Capítulo V
Calificación de Cartera Crediticia, art. 92, fracción III.
16Mediante el
programa Stata 13, se aplicó el comando «stat
clas».
17Circular
Única de Bancos 2014, actualización 31 de julio 2014, Título Segundo
Disposiciones Prudenciales del Capítulo I Otorgamiento de Créditos y Capítulo V
Calificación de Cartera Crediticia, art. 92, fracciones I y III. ACT ≥ 4, PI = 100% y ACT < 4, el
cálculo de la PI es mediante el modelo planteado en el art 92 fracción III.
18Circular
Única de Bancos 2014, actualización 31 de julio 2014, Título Segundo
Disposiciones Prudenciales del Capítulo I Otorgamiento de Créditos y Capítulo V
Calificación de Cartera Crediticia, art. 92, fracción III. ACT < 10, SP = 75% y ACT ≥ 10, SP = 100%.
19Circular
Única de Bancos 2014, actualización 31 de julio 2014, Título Segundo
Disposiciones Prudenciales del Capítulo I Otorgamiento de Créditos y Capítulo V
Calificación de Cartera Crediticia, Sección Quinta De la constitución de
reservas y su clasificación por grado de riesgo, art. 129.
20Sección
Información Estadística del Sector Supervisado Banca Múltiple (22 de agosto
2014), con datos al cierre del mes de junio 2014 para Créditos al Consumo para
Tarjeta de Crédito & # 4 0 ; h t t p & # 5 8
; & # 4 7 ; & # 4 7 ; w w w
& # 4 6 ; c n b v & # 4 6 ; g o b & # 4 6 ; m x & # 4 7 ; S E C
T O R E S - S U P E R V I S A D O S & # 4 7 ; B A N C A-MULTIPLE/Paginas/Información-Estadística.aspx).
21Return on
Assets , que de acuerdo a la CNBV se conforma por la razón del Resultado
Neto Flujo entre el Activo Total.